


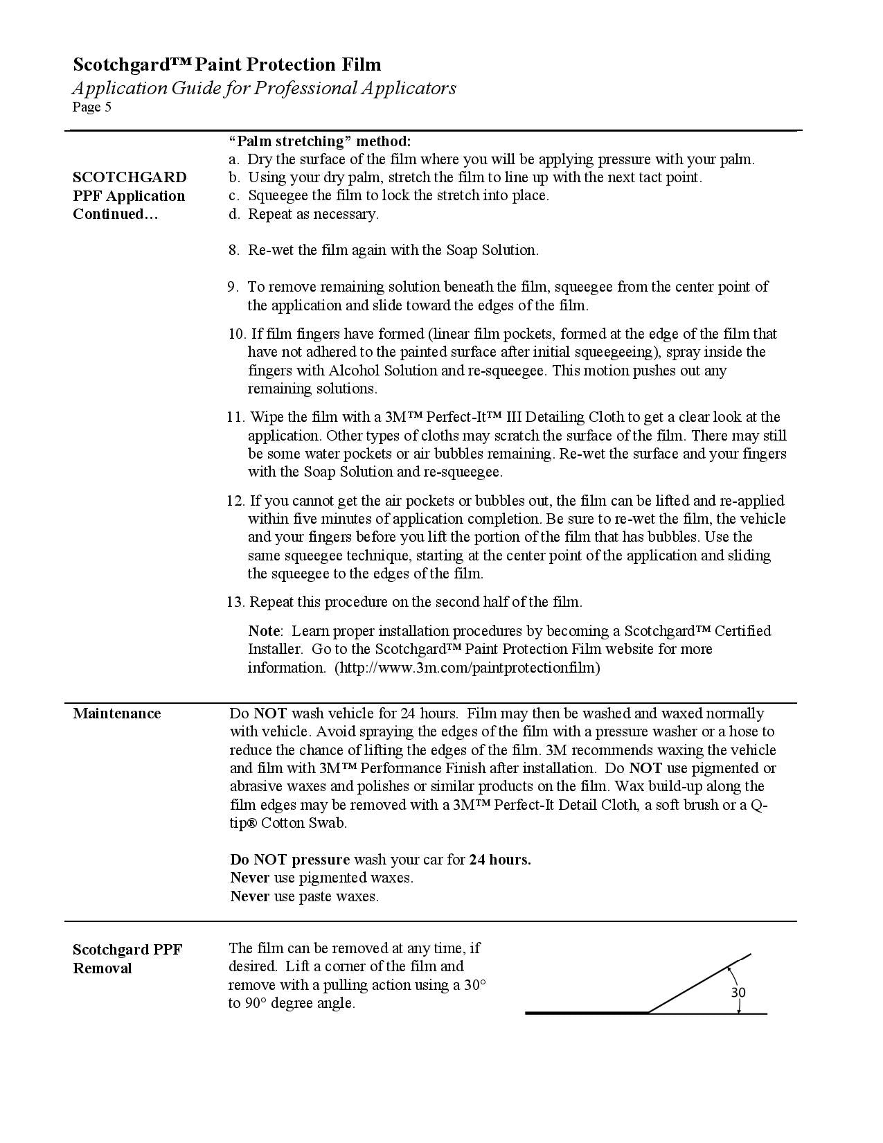
Fitting Instructions
Spend $150 & Get Free Shipping | $12.95 Flat Rate Shipping
Our comprehensive warranty for Scotchgard Pro Series film is 7 years from the date of purchase, and includes coverage against defects, yellowing, bubbling and cracking.
Yes! Our paint protection film is DIY friendly, all kits or rolls can be installed at home + we have youtube videos showing how to install here
Paint protection film helps to protect against scratches, bugs, paint chips, abbrasions, scuffs & General wear & tear. Our 3M Film paint protection film is also self healing and can repair itself in the event of damage.

Before/After
The tough, durable, virtually invisible urethane film will keep your vehicle looking newer longer by creating a barrier and protecting the surface

Before

After

Keep Your Car Looking Good For Longer
Boost Your Trade In Value With Paintgard, Back By A 7 Year Warranty

Fit To Your Car
We have many templates available for most car makes & models, email us at orders@paintgard.com.au & we will confirm if we have a kit for your car
Contact Us

